Soru 1 |

fonksiyonu birim fonksiyon ise m – n aşağıdakilerden hangisine eşittir?
−3 | |
−2 | |
1 | |
2 | |
3 |
Soru 2 |
f ve g gerçek sayılar kümesinde tanımlı fonksiyonlardır.

olduğuna göre f (5) kaçtır?
−20 | |
−15 | |
0 | |
15 | |
20 |
Soru 3 |
Gerçek sayılar kümesinde tanımlı

fonksiyonunun grafiği aşağıdakilerden hangisidir?
![]() | |
![]() | |
![]() | |
![]() | |
![]() |
Soru 4 |
Bir fidan dikildiğinde boyu 2 metredir. Bu fidanın ilk yıl boyunun hiç uzamadığı ve sonraki 4 yılda boyunun her yıl 0,5 m uzadığı gözlenmiştir.
Buna göre fidanın boyunun zamana bağlı değişimini gösteren fonksiyonunun grafiği aşağıdakilerden hangisidir?
![]() | |
![]() | |
![]() | |
![]() | |
![]() |
Soru 5 |
Gerçek sayılar kümesinde f ve g fonksiyonları
f(x) = x2 − 1
g(x) = x + 3
biçiminde tanımlanıyor.
Buna göre (fog) (-1) kaçtır?
−3 | |
−1 | |
0 | |
1 | |
3 |
Soru 6 |

-1 | |
-3 | |
0 | |
1 | |
3 |
Soru 7 |

-4 | |
-2 | |
1 | |
3 | |
5 |
Soru 8 |
işleminin
sonucu kaçtır?
-2 | |
-1 | |
0 | |
1 | |
2 |
Soru 9 |
Aşağıda grafiği verilen gerçek sayılar kümesinde tanımlı fonksiyonlardan hangisi bire bir fonksiyon olabilir?
![]() | |
![]() | |
![]() | |
![]() | |
![]() |
Soru 10 |
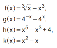
Gerçek sayılar kümesinde tanımlı f, g, h ve k fonksiyonları

biçiminde tanımlanıyor.
Bu fonksiyonlardan hangileri tek fonksiyondur?
f ve g | |
f ve h | |
g ve h | |
g ve k | |
h ve k |
Soru 11 |
-1 
-1 | |
0 | |
1 | |
2 | |
3 |
Soru 12 |
Giriş katında bulunan bir asansör binanın en üst katına çıkıp iniyor. Bu asansörün bulunduğu yüksekliğin ve tükettiği elektriğin zamana göre değişimi aşağıdaki doğrusal grafiklerle gösterilmiştir.

Başlangıçta giriş katında bulunan bu asansör en üst kata çıktıktan sonra inerken giriş katından 6 metre yükseklikteki katta duruyor.
Asansör giriş katından bu kata gelene kadar kaç watt elektrik tüketmiştir?
28 | |
30 | |
32 | |
35 | |
38 |
Test İstatistikleri (Ortalama)
| Doğru | 1.50 |
| Yanlış | 6.50 |
| Net | -0.67 |
| Çözülme Sayısı | 2 |
Başarı Tablosu
| İsim Soyisim | Doğru | Yanlış | Süre |














