%%PERCENTAGE%%
Doğru Sayısı: %%SCORE%%
Yanlış Sayısı: %%WRONG_ANSWERS%%
Boş Sayısı: %%BOS%%
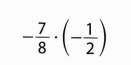
Soru 1 |

işleminin sonucu aşağıdakilerden hangisidir?
![]() | |
![]() | |
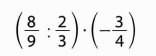
Soru 2 |

işleminin sonucu aşağıdakilerden hangisidir?
Soru 3 |

eşitliğine göre “üçgen” yerine aşağıdakilerden hangisi yazılmalıdır?
![]() | |
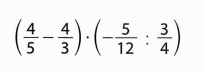
Soru 4 |

işleminin sonucu aşağıdakilerden hangisidir?
![]() | |
![]() | |
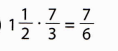
Soru 5 |
Hangi seçenekte işlemin sonucu yanlıştır?
![]() | |
![]() | |
![]() | |
![]() |
Soru 6 |

Kaç tane karttaki eşitlikte “üçgen” yerine 1 yazılır?
1 | |
2 | |
3 | |
4 |
Soru 7 |

işleminin sonucu aşağıdakilerden hangisidir?
![]() | |
![]() |
Soru 8 |

işleminin sonucu aşağıdakilerden hangisidir?
![]() |
Soru 9 |

işleminin sonucu aşağıdakilerden hangisidir?
Soru 10 |

Yukarıdaki bölme tablosu doğru doldurulduğunda A + B + C ifadesinin değeri aşağıdakilerden hangisi olur?
![]() | |
![]() |
Soru 11 |

Verilen eşitliklere göre A : B işleminin sonucu aşağıdakilerden hangisidir?
![]() |
Soru 12 |

işleminin sonucu aşağıdakilerden hangisidir?














